VOAL

VOAL

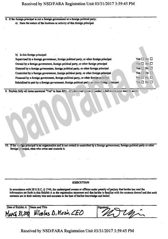
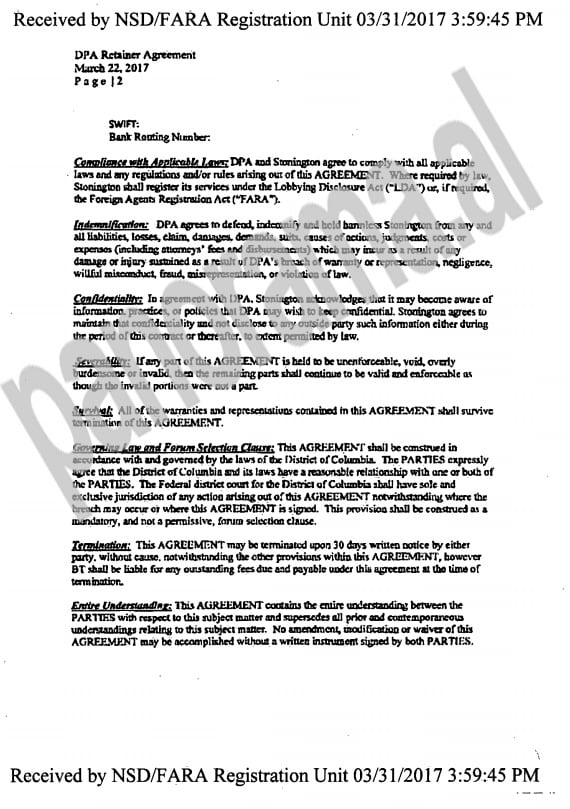
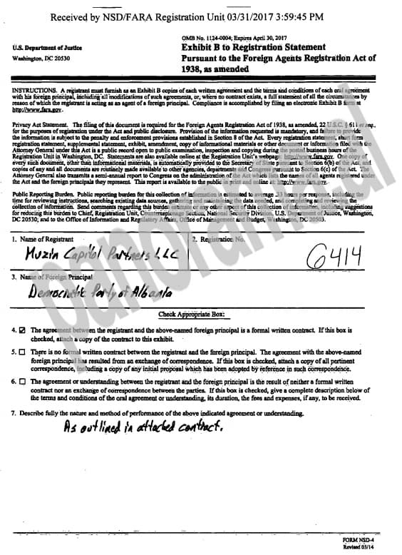
Dokumente: Zbulohet edhe kontrata e PD në SHBA, paguan 25 mijë USD deri 1 muaj para zgjedhjeve. Ja arsyeja

April 18, 2017

Komentet

BalkanWeb: Rreth 3 orë protestë, opozita kërkon dorëheqjen e Ramës. Mbi 20 të shoqëruar, deputetë demokratë e protestues të lënduar! Çfarë ndodhi gjatë revoltës së PD, mesazhet e Berishës

“Kryengritja jonë do të vazhdojë”, kështu e përfundoi fjalën e tij kreu i PD Sali Berisha, në përfundim të protestës kombëtare të PD.

Protesta u shoqërua me tensione, përplasje dhunë të përdorur nga efektivë të policisë ndaj protestuesve. Menjëherë pas mbylljes së fjalimeve në podium, protestuesit hodhën fishekzjarrë e molotovë në drejtim të Kryeministrisë, kjo solli edhe ndërhyrjen e menjëhershme të policisë, duke sjellë edhe përplasjen me qytetarët.

Deputetë demokratë, Luçiano Boçi, Klevis Balliu, gazetari Aulon Kalaja, u lënduan nga spraj molotovë dhe u transportuan në spital. Gjithashtu edhe një efektiv policie u lëndua. Ndërsa mbi 20 persona u shoqëruan në polici.

“Të gjitha, të gjitha format e protestave do përdoren. Këto janë protestat, janë, kjo është kryengritje paqësore që ka si mision përmbysjen e narko-regjimit të Edi Ramës. Ky mision është misioni i Partisë Demokratike, por edhe i forcave të tjera politike opozitare, i shoqërisë civile, i grupeve të tjera të interesit, të cilat, për të cilat do bëjmë gjithçka të bashkohemi në një front të përbashkët për t’i dhënë shtytjen përfundimtare këtij regjimi. Por një gjë është e sigurtë, që ne nuk ka, kjo kryengritje nuk ka të ndalur. E shtata apo e teta me radhë, e panjohur më parë në Shqipëri, kjo është bërë, ka një mbështetje sa shqiptare, aq dhe botërore”, tha Berisha në fund të protestës.

 

  • foto galeri
  • foto galeri
  • foto galeri
  • foto galeri
  • foto galeri
  • foto galeri
  • foto galeri
  • foto galeri
  • foto galeri
  • foto galeri

 

  • foto galeri
  • foto galeri
  • foto galeri
  • foto galeri
  • foto galeri
  • foto galeri
  • foto galeri
  • foto galeri
  • foto galeri
  • foto galeri
  • foto galeri

Radio Evropa e Lirë: Protestuesit përleshen me Policinë në protestën antiqeveritare në Shqipëri

Forcat e rendit vendosin kordon dhe përgjigjen me topa uji ndaj fishekzjarrëve të hedhura nga protestuesit gjatë protestës antiqeveritare në Tiranë, Shqipëri, të premten, 17 prill 2026.

 

Jetmira Delia-Kaci

Protestuesit janë përleshur me pjesëtarë të forcave të rendit gjatë një proteste opozitare kundër Qeverisë në Shqipëri të premten mbrëma, e cila mbaroi me disa të lënduar, përfshirë deputetë, oficerë dhe protestues.

Protestuesit, pas një fjalimi nga kreu i Partisë Demokratike në opozitë, Sali Berisha, hodhën molotovë dhe fishekzjarrë në drejtim të ndërtesës së Qeverisë së vendit në Tiranë.

Forcat e rendit u detyruan të përdorin topa uji dhe sprej piperi për t’i shpërndarë protestuesit. Por protestuesit u zhvendosën më pas drejt Kuvendit, ku tentuan të çanin kordonin policor.

Forcat e rendit krijojnë kordon mbrojtës gjatë protestës antiqeveritare pranë ndërtesës së Qeverisë shqiptare në kryeqytetin Tiranë, 17 prill 2026.

Forcat e rendit krijojnë kordon mbrojtës gjatë protestës antiqeveritare pranë ndërtesës së Qeverisë shqiptare në kryeqytetin Tiranë, 17 prill 2026.

Në protestën e së premtes, disa deputetë demokratë, protestues dhe punonjës policie u shoqëruan me autoambulanca për në spital për të marrë mjekim.

Partia më e madhe opozitare në vend ka zhvilluar protesta kohë pas kohe që nga fundi i vitit të kaluar, duke kërkuar dorëheqjen e kryeministrit Edi Rama dhe krijimin e një qeverie teknike.

Ajo e akuzon Qeverinë socialiste për “korrupsion”, dhe për “bllokimin e drejtësisë”, duke pretenduar se kjo është “pengesë për rrugën e vendit drejt Bashkimit Evropian”.

Shqipëria është në pritje të Raportit mbi Vlerësimin e Përkohshëm të Standardeve (IBAR) te Komisionit Evropian, ku vlerësohet përparimi në sundimin e ligjit, gjyqësor dhe luftën kundër korrupsionit, për kapitujt kyç 23 dhe 24 në negociatat e anëtarësimit.

Vlerësimi pozitiv i këtij dokumenti është parakusht i rëndësishëm që Shqipëria të nisë mbylljen e kapitujve të negociatave të anëtarësimit.

Vitin e kaluar, Shqipëria theu rekord duke hapur brenda një viti të gjithë kapitujt në procesin e bisedimeve për anëtarësim në BE.

Shqipëria synon të jetë pjesë e bllokut para vitit 2030.

Por protestat antiqeveritare u shtuan pasi Prokuroria e Posaçme, SPAK, ngriti aktakuzë vitin e kaluar ndaj atëherë zëvëndëskryeministres së vendit, Belinda Balluku.

Vendimi i Kuvendit për të mos hequr imunitetin e deputetes për Ballukun e përshkallëzuan më shumë përplasjen politike në vend.

SPAK i kishte kërkuar Kuvendit qysh më 16 dhjetor të vitit të kaluar t’ia hiqte imunitetin Ballukut, pasi prokurorët kërkojnë arrestimin e saj nën akuzat për korrupsion.

Balluku është nën hetime edhe për shtatë procedura të tjera prokurimi që lidhen me disa projekte infrastrukturore në Tiranë.

Më 26 shkurt, kryeministri Edi Rama e shkarkoi Ballukun nga postet qeveritare.

Partia Socialiste është kundër arrestimit të Ballukut, duke argumentuar se ajo nuk mund t’i prishë provat apo të arratiset, nuk mund të përsërisë veprën penale, dhe rruga e SPAK-it për ta hetuar atë është e hapur.

Partia Demokratike ka deklaruar se imuniteti nuk duhet të kthehet në mburojë apo pengesë për drejtësinë.

Fox News jehonë njoftimit të ambasadës së SHBA në Tiranë: Kujdes në Shqipëri

Sipas artiullit, shtetasve amerikanë u kërkohet kujdes i shtuar gjatë qëndrimit në Shqipëri, për shkak të rreziqeve që burojnë nga tensionet gjeopolitike, veçanërisht ato që lidhen me Iranin.

 

SHBA- Televizioni amerikan, Fox News, ka raportuar mbi paralajmërimin e Ambasadës së SHBA-së në Tiranë, më 1 prill. Sipas artiullit, shtetasve amerikanë u kërkohet kujdes i shtuar gjatë qëndrimit në Shqipëri, për shkak të rreziqeve që burojnë nga tensionet gjeopolitike, veçanërisht ato që lidhen me Iranin.

Fox News vë në dukje se, megjithëse bregdeti shqiptar mbetet një destinacion me kosto të ulët, situata globale kërkon vigjilencë. Duke cituar udhëzimet e zyrtarëve, të cilët këshillojnë turistët, Fox News i këshillon ata të jenë të vëmendshëm gjatë qëndrimit në Shqipëri.

Artikulli i plotë: 

Zyrtarët amerikanë kanë lëshuar një këshillë udhëtimi për një destinacion turistik evropian, i njohur për vijën bregdetare të Adriatikut.

Tirana, Shqipëri, është subjekt i një këshille udhëtimi të lëshuar nga Ambasada e SHBA-së në Shqipëri më 1 prill.

Ambasada, e vendosur në Tiranë, përmendi tensionet e lidhura me Iranin si arsyen e alarmit.

 “Grupet e lidhura me Iranin, mund të kërkojnë të shënjestrojnë subjekte të lidhura me SHBA-në ose elementë të opozitës iraniane në Shqipëri”, thuhej në njoftim.

Ambasada paralajmëroi se forcat pro-iraniane mund të synojnë vende të mbushura me njerëz, “siç janë vendet turistike, qendrat tregtare, hotelet, klubet dhe restorantet”.

“Ne i inkurajojmë qytetarët amerikanë të shfaqin vigjilencë të shtuar”, thuhej në njoftim.

Zyrtarët gjithashtu paralajmëruan turistët amerikanë të jenë vigjilentë, të qëndrojnë të vetëdijshëm për mjedisin përreth dhe të monitorojnë mediat lokale për përditësime.

Turistëve u kërkohet të “rishikojnë planet e tyre personale të sigurisë dhe ta mbajnë telefonin celular të karikuar, në rast emergjence”, shtoi njoftimi.

Tirana, kryeqyteti dhe qyteti më i madh i Shqipërisë, ndodhet rreth 20 milje larg Detit Adriatik dhe tërheq turistë për shkak të afërsisë me ujërat e kaltra dhe të pastra.

Gjithashtu ndodhet pranë malit të Dajtit, një destinacion popullor për ecje në natyrë dhe pamje panoramike. Është lehtësisht i arritshëm me teleferik.

Tirana u bë kryeqyteti i vendit në vitin 1920, sipas faqes së internetit të ministrisë së jashtme të Shqipërisë.

Qyteti ka pësuar një transformim të rëndësishëm që nga rënia e komunizmit në vitet 1990, duke u shfaqur si një destinacion në rritje për udhëtarët ndërkombëtarë.

Vizitorët shpesh ndalojnë në lagjen e Bllokut të Tiranës, dikur e rezervuar për elitat komuniste, për kafenetë, restorantet dhe jetën e natës.

Përveç vijës bregdetare piktoreske, Shqipëria njihet si një destinacion udhëtimi me çmime të përballueshme. Ajo u emërua si një nga 16 vendet më të lira për t’u vizituar në vitin 2026 nga Condé Nast Traveler.

Turistët amerikanë mund të shijojnë vendet e vendit pa kurs këmbimi të pafavorshëm, pasi një dollar amerikan është i barabartë me 81.61 lekë shqiptarë.

Faqja e internetit e ministrisë së jashtme të Shqipërisë e përshkruan Tiranën si “qendrën kryesore të Shqipërisë për konventa, konferenca dhe seminare”.

 “Tirana është shtëpia e institucioneve të mëdha si Pallati i Kongreseve, Qendra Ndërkombëtare e Kulturës, Pallati i Kulturës me Teatrin e Operas dhe Baletit, si dhe ndërtesat kryesore qeveritare”, vëren një version i përkthyer i faqes së internetit.

“Përveç parkut të madh në juglindje, qyteti ka edhe disa parqe më të vogla.”

Fox News Digital kontaktoi Ambasadën e SHBA-së në Shqipëri për komente shtesë.”,shkruhet në artikull./Dosja.al

Opozita sot në protestë! Kërkohet dorëheqja e Ramës, rikthehen edhe fjalimet, çfarë pritet të ndodhë para Kryeministrisë

Opozita organizon sot protestën e shtatë kombëtare, ku kërkon dorëheqjen e qeverisë dhe të kryeministrit Edi Rama pasi ish-zëvendësja e tij, Belinda Balluku rezultoi e përfshirë në afera korruptive, ndërsa kërkesa e SPAK për arrestimin e saj u hodh poshtë me forcën e kartonëve nga mazhoranca.

 

Tubimi pritet të nisë në orën 19:00 para Kryeministrisë, ndërsa organizatorët e protestës kanë njoftuar Policinë e Shtetit se protesta pritet të mbyllet në orën 22:00.

Pritet që skenari i ndjekur sot do të jetë ai i disa protestave më parë, dhe në vend të marshimit në të gjithë Tiranën, do të rikthehen fjalimet nga drejtues të PD, përfaqësues të forumit rinor, partive aleate dhe aktivistë. Mësohet se podium do të vendoset përpara Kryeministrisë.

Gjatë protestave të fundit mungoi podiumi i protestës, ndërsa skenari u fokusua te marshimi dhe hedhja e molotovëve e fishekzjarreve drejt institucioneve qeveritare.

Megjithatë, nuk përjashtohet që protesta e të premtes të marrë edhe zhvillime të tjera gjatë mbrëmjes.

Policia e Shtetit ka njoftuar edhe masat e sigurisë në lidhje me protestën, ku bëhet me dije se do të kufizohet lëvizja e automjeteve në disa akse rrugore, konkretisht:

-nga ora 23:45 e datës 16.04.2026 deri në përfundim të tubimit, do të bllokohet lëvizja dhe nuk do të lejohet parkimi i automjeteve në bulevardin “Dëshmorët e Kombit”, nga vendi i quajtur “Ura e Dajtit” deri në rrugën “Ismail Qemali”;

-nga ora 15:00 e datës 17.04.2026 deri në përfundim të tubimit, do të ketë bllokim të lëvizjes së automjeteve në bulevardin “Dëshmorët e Kombit”, nga kryqëzimi afër Ministrisë së Brendshme deri te sheshi “Nënë Tereza”, si dhe në rrugët “Ukraina e Lirë”, “Papa Gjon Pali II” dhe “Ismail Qemali”.

Njoftimi i policisë:

Përfaqësues të subjektit politik Partia Demokratike e Shqipërisë kanë njoftuar Policinë e Tiranës për zhvillimin e një tubimi, më datë 17.04.2026, nga ora 19:00 deri në orën 22:00, në bulevardin “Dëshmorët e Kombit”, para godinës së Kryeministrisë.

Në bazë të ligjit “Për tubimet”, Policia e Tiranës ka marrë masat me qëllim garantimin e mbarëvajtjes së tubimit në vendin dhe afatin kohor të kërkuar.

Në zbatim të këtyre masave, ditën e sotme dhe të nesërme, do të kufizohet lëvizja në disa akse/segmente rrugore, konkretisht:

nga ora 23:45 e datës 16.04.2026 deri në përfundim të tubimit, do të bllokohet lëvizja dhe nuk do të lejohet parkimi i automjeteve në bulevardin “Dëshmorët e Kombit”,
nga vendi i quajtur “Ura e Dajtit” deri në rrugën “Ismail Qemali”;
nga ora 15:00 e datës 17.04.2026 deri në përfundim të tubimit, do të ketë bllokim të lëvizjes së automjeteve në bulevardin “Dëshmorët e Kombit”, nga kryqëzimi afër

Ministrisë së Brendshme deri te sheshi “Nënë Tereza”, si dhe në rrugët “Ukraina e Lirë”, “Papa Gjon Pali II” dhe “Ismail Qemali”.

Policia e Tiranës apelon për organizatorët e tubimit për respektimin e afatit kohor dhe vendit ku do të zhvillohet tubimi, si dhe kërkon mirëkuptimin e qytetarëve për kufizimin e lëvizjes me automjete.

Gjithashtu, apelon që të distancohen në rast se gjenden përballë veprimeve të kundërligjshme që cenojnë rendin dhe sigurinë publike. bw

Protesta e opozitës, zbardhet agjenda e tubimit para Kryeministrisë! Rikthehet podiumi dhe fjalimet

Opozita do të zhvillojë nesër protestën e saj të shtatë kombëtare, duke kërkuar dorëheqjen e kryeministrit Edi Rama dhe largimin e qeverisë.

 

Tubimi pritet të nisë në orën 19:00 para Kryeministrisë. Organizatorët kanë njoftuar Policinë e Shtetit për orën e fillimit, por jo për kohëzgjatjen e protestës.

Sipas burimeve, në protestën e 17 prillit pritet të rikthehen fjalimet nga drejtues të Partisë Demokratike, forumit rinor dhe partive aleate, ndryshe nga tubimet e fundit ku mungoi podiumi dhe fokusi ishte te marshimi.

Nuk përjashtohet që protesta të shoqërohet edhe me zhvillime të tjera gjatë mbrëmjes, përfshirë marshime në akse të ndryshme të kryeqytetit, në varësi të dinamikës së tubimit dhe orientimit nga organizatorët.

Ndërkohë, Policia e Shtetit ka marrë masa për garantimin e rendit dhe sigurisë. Në protestat e mëparshme janë angazhuar mbi 1 mijë efektivë në terren.

Opozita vijon të kërkojë largimin e qeverisë, duke e lidhur këtë me akuzat për afera korruptive ndaj ish-zyrtares së lartë Belinda Balluku, ndërsa çështja është bërë objekt i përplasjes politike mes palëve. Panorama

UGSHPD: TAULANT KUMBARI (Shtetësia nuk është shtetëzim Zoti Balla)


Nuk dihet ende data se kur(?!)…

Nuk dihet ende se kush(?!), do të jetë përfituesi/përfituesja sipas përkatësisë gjinore gjithëpërfshirëse të  “shtetasve shqiptarë”. 
Por që përmes “natyralizimit për interes shtetëror” kush do të bëhet (?!), do të ketë në shtetësinë e re kumbarinë e vet, shumë të nderuarin deputet rilindës, Taulant Balla.
Çfarë është kjo?!
Sa pushtet i kanë dhënë vetes kjo pjesë e politikës.
Një qytetar shqiptar në formulën për shtetësinë shprehet se:-“Betohem për besnikëri ndaj Republikës së Shqipërisë, për respektimin e Kushtetutës dhe të ligjeve të saj, si dhe për mbrojtjen e pavarësisë, tërësisë territoriale dhe të rendit kushtetues të Republikës së Shqipërisë.”
 
Këtë nuk e luan topi, thotë populli.
 
Por duke qenë të ndjeshëm, të sinqertë dhe të ndershëm me veten edhe pa e bërë betimin, kush ka lindur në troje shqiptare dhe nga prindër shqiptar e ndjen se gjaku ndër deje i vlon.
 
Çfarë është kjo që po ndodh me Kushtetutën e Shqipërisë e cila megjithëse e ka të përcaktuar qartë se kush janë shtetasit shqiptarë, të shprehur në nenin 

Nuk është e rastësishme që Kryetari i GPS dhe Koordinatori për Diasporën, pasi shëtiti dhe turbulloi diasporën në vitet e fundit që se kur u emërua edhe me detyrën e koordinuesit një vit para zgjedhjeve të 11 Majit, 2025 kur diaspora u mundua të përfaqësohej për herë të parë, Z. Balla nuk mungoi të futej në çdo dhomë zhveshjeje kuq e zinjsh si për t’u shquar si “menaxheri-babaxhan” i talenteve sportive sikurse edhe tani që në mesin e ciklonit të Samitit të katërt të Diasporës në Tiranë apo edhe nga Kuvendi i Shqipërisë vazhdon të fantazojë me projektligjin e “natyralizimit për interes shtetëror”.
 
Përse nuk ua tha në panelet pa thelb diskutimi mes shqiptarëve të ftuar dhe të ardhur nga diaspora se kjo qeveri (e KORRUPTUAR), na paska një tjetër matës për qytetarinë dhe shtetësinë shqiptare që quhet “natyralizimi për interes shtetëror”.
Pra geni i Ilirëve, i Arbëreshëve dhe i shqiptarëve pas Ismail Qemalit, tani në shekullin e XXI të viteve të Rilindjes Socialiste po shkakton “ndryshimin e materialit gjenetik” duke i shndërruar qytetarët dhe shtetasit në  “shqiptari i shtetit”.
Këta politikanë që ministrat dhe deputetët të erës ose pjella e Diellës, pasi mendojnë dhe veprojnë njësoj nuk e paskan nga sot e tutje më problem identitetin njerëzor dhe kombëtar.
A ka mbetur ndonjë politikan patriot shqiptar që ta thërrmojnë këtë koncept pikërisht në atë vend ku këto ideologji gatuhen, në atë kuvend?
Çfarë është kjo çoroditje?
A ka studiues, sociologë, historianë, gjuhëtarë, shkencëtarë dhe artistë Shqipëria që t’ua kthejnë mbrapsht titujt dhe dekoratat e nderit kësaj qeverie, qeveritarëve dhe presidentit për këtë provokim qytetarie dhe diferencim që i bëhet shtetasve shqiptar?
Kjo nuk është më transparencë me publikun, por lajthitje-live në sy të publikut.
Në qoftë se dikujt me një pension meritash i është blerë heshtja, i është bërë mbase gati edhe nekrologjia nga ky pushtet ashtu sikurse edhe mund t’i jetë ruajtur toka dhe hequr shpenzimet e një ceremonie varrimi, shqiptarët e pagëzuar nesër nga Kumbar Taulanti, nuk besohet se do të mund të jenë më të shumtë në numër për sa shqiptarët e trojeve dhe diasporës.
More po, me kaq tru pjellor të jetë ky kodosh Kumbar Taulanti sa shqiptarët e larguar, të përzënë, të monitoruar e patronazhuar në diasporë, të  kontrolluar e rinumëruar edhe si turistë po të duash, por në asnjëherë të pastër e të çiltër nga ky shtet, të mos kenë rastin për t’u pajisur njëherë e mirë me certifikata biometrike(?!) dhe pasaportë shqiptare.
Ka 13 vite që i shpërngulën shqiptarët dhe sot pas një 13 vjeçari ky shtet i rilindësve vazhdon dhe propozon projekt ligje për “natyralizimin për interes shtetëror”.
Këto janë gjëra që  së pari nuk qëndrojnë. Edhe në se duam si për të ilustruar se në një sistem demokratik shtetasi gëzon liritë universale paska edhe “natyralizimin për interes shtetëror” kjo do të thotë se do të pranojmë se do të kemi nesër edhe “shqiptarin e shtetit”pra individët e shtetëzuar.
 
Kjo po ndodh sepse ideologjia globaliste e rilindësve duan ta shtetëzojnë identitetin e tij (individit), pasi e shkelmuan bashkë me të edhe ligjet edhe kushtetutën gjatë tre mandateve të mëparshme.

Në qoftë e se doni të pastër dhe të qartë këtë tezë antishqiptare krahas fasadës dhe përmbylljes së Samitit të IV të Diasporës, ju mund të ndiqnit paralelisht punimet e Komisionit për Evropën dhe Punët e Jashtme të drejtuar nga zëvendëskryetarja Bora Muzhaqi, ku u paraqit projektligji si nisma Balla mbi kuadrin ligjor për fitimin e shtetësisë shqiptare. Në projektligjin “Për disa shtesa dhe ndryshime në ligjin ‘Për shtetësinë’, të ndryshuar”, i cili si akt nuk është asgjë më shumë se sa një teatër i shëmtuar.
Një koncept i servirur keq dhe i pambrojtshëm.
Një tezë shqetësuese për vetë përmbajtjen që ka ‘natyralizimi i shtetësisë’ si proces dhe i kombeve e shteteve me probleme në standardet e ruajtjes së numrave demografikë.
Shtetas dhe qytetar bëhesh natyrshëm duke përtypur mësimet qytetare të një shoqërie. Bëhesh natyrshëm aty ku punon dhe jeton, ku paguan taksa, ku ke zë dhe ku kërkon të integrohesh. Bëhesh i natyrshëm ku pranohesh dhe ku ushtron të drejtën e votës për të zgjedhur dhe zgjidhesh, ku lufton për të vërtetën dhe godet korrupsionin. Bëhesh i natyrshëm aty ku i shtrëngon dorën fituesve dhe sfidon arritjet më të mira tek vetvetja duke krijuar familjen tënde dhe lënë pasardhës. Bëhesh natyrshëm një qytetar i lirë e për dhjetra arsye të tjera pa shkuar tek makinacionet dhe mbrapshtitë e projektligjit të kumbarë Taulantit.
Pra je një shtetas dhe qytetar, e bëhesh edhe duke mësuar gjuhën, njohur historinë dhe respektuar traditën sikurse edhe do të bësh betimin sepse e ke bërë vetë rrugën dhe dëshiron që në vendin tënd të lësh pasardhës po kaq të ndërgjegjshëm.
Për të mos ju kthyer më një koncepti si  “natyralizimit për interes shtetëror” ky i kumbarit Taulant, pasi atë dhe tipa si ai historia do t’i gjykojë, analiza jonë duhet përforcuar me një tjetër shenjë dhe të tjera bëma që elita e Rilindjes Socialiste ka qenë e lirë dhe e ndërgjegjshme për vite me rradhë për të shpërbërë pak nga pak dhe në çdo drejtim shqiptarët dhe Shqipërinë.
Lërini njerëzit të lirë dhe të jenë vetvetja. 
 
Shtetësia vjen vetë ndaj edhe quhet proces natyralizimi.
 
Sistemi mono partiak shqiptar në vitet e fundit të diktaturës komuniste u lodh deri sa krijoi njeriun e ri dhe më pas u degradua. Rilindja Socialiste me etjen e re elektorale për t’i fituar 100% zgjedhjet e ardhshme vendore të 2027-ës ka arritur sërish tek kulmi i parti-shtetit. 
 
BE 2030 po largohet gjithnjë e më shumë pikërisht për shkak të këtyre përsëritjeve që nuk kanë të bëjnë me lirinë dhe të drejtat universale të njeriut.
 
Ideologjia globaliste e Rilindjes Socialiste nuk është më as një çmenduri e rastit as edhe ndonjë gjenialitet i Kumbarit Taulant. Individi i shtetëzuar ose shqiptari i shtetit, në projekt ligjin e Ballës është i njëjti ligj ku Kushtetuta cifloset me korrigjime, me togfjalësha dhe germa në nenet e saj ritmikisht në tre mandatet që shkuan dhe tek viti i parë i këtij të katërtit.
 
I ndiqni  punimet e Komisionit për Evropën dhe Punët e Jashtme të drejtuar nga zëvendëskryetarja Bora Muzhaqi, që e paraqitën projektligjin si nisma Balla mbi kuadrin ligjor për fitimin e shtetësisë shqiptare “Për disa shtesa dhe ndryshime në ligjin ‘Për shtetësinë’, të ndryshuar”, për të bërë dallimin se ku qendron Preambula e Kushtetutës së Shqipërisë, serioziteti i shtetësisë shqiptare me një ligj të vitit 2021 që u hodh për herë të parë nga tarraca e Bashkisë Tiranë, si kryeqytet metropolitan ku numërohen 144 kombësi të ndryshme.
 
Sipas kryetarit të Bashkisë së Tiranës Erion Veliaj mbi marrjen e shtetësisë shqiptare thuhej se:-“Ligji i ri kërkon nga sot, që të jetë kryetari i Bashkisë autoriteti në të cilin bëjnë betimin shtetasit e rinj të Republikës së Shqipërisë. Edhe pse tingëllon shumë formale, në thelb është një moment shumë kuptimplotë dhe domethënës, ku ajo që sot na bashkon në këtë ambient nuk është gjuha, as feja, as kombësia dhe as origjina nga kemi ardhur, por drejtimi nga do të lëvizim të gjithë së bashku nga tani e tutje, një drejtim që lidhet mbi një ideal të cilin shqiptarët e skalitën kaq bukur në faqen e parë të Kushtetutës…”*, pa vazhduar më tej nga ky dokument i datës 21 Qershor, 2021 mohimi i gjuhës, i besimit, i kombësisë, i origjinës janë pikërisht shtrembërimi i asaj që në krye të Kushtetutës së Republikës së Shqipërisë është e shkruar sa më poshtë: 
Ne, Populli i Shqipërisë, krenarë dhe të vetëdijshëm për historinë tonë, 
me përgjegjësi për të ardhmen, me besim te Zoti dhe/ose te vlera të tjera 
universale, me vendosmërinë për të ndërtuar një shtet të së drejtës, 
demokratik e social, për të garantuar të drejtat dhe liritë themelore 
të njeriut, me frymën e tolerancës dhe të bashkëjetesës fetare, me zotimin 
për mbrojtjen e dinjitetit dhe të personalitetit njerëzor, si dhe për 
prosperitetin e të gjithë kombit, për paqen, mirëqenien, kulturën dhe 
solidaritetin shoqëror, me aspiratën shekullore të popullit shqiptar 
për identitetin dhe bashkimin kombëtar, me bindjen e thellë se drejtësia, 
paqja, harmonia dhe bashkëpunimi ndërmjet kombeve janë ndër 
vlerat më të larta të njerëzimit, vendosim këtë Kushtetutë.
Cili është dallimi?
Vlen të thuhet se që nga 2021 kanë kaluar 5 vite.
Ajo ideologji tashmë është mbjellë.
Lexojeni, shikojeni në arkiva, bëni kërkimet tuaja për përkatësinë e gjendjes vetjake se çfarë i takon dhe çfarë i është marrë si qytetarëve ashtu dhe shtetasve shqiptarë apo edhe atyre si shqiptarë të diasporës  po të duhet dhe pastaj vlerësoni se përse pak nga pak dhe me programim ka ndodhur ky degradim i ndërgjegjes kombëtare. 
 
Pyesni se përse vota “masivisht” ka shkuar nga pushteti i Rilindjes Socialiste?
Pasi ta kuptoni, thërrisni edhe njëherë ndërgjegjen tuaj qytetare jo vetëm në kryeqytet për të kuptuar se çfarë e dallon shqiptarin e shtetit, atë individin e shtetëzuar nga qytetari i lirë me shtetësi shqiptare apo dyshtetësi që jeton e punon në botën e zhvilluar demokratike dhe që përpiqet që standardet t’i përcjellë edhe në vendlindjen e tij apo të të parëve të vet, pavarësisht se Parti-Shteti me propagandën e tij ka hapur grup-kapitujt për anëtarësimin në BE dhe kufijtë kohorë i lëviz bashkë me interesat e jetëgjatësisë së pushtetit.


15 Prill, 2026

 

Unioni i Gazetarëve Shqiptarë Profesionistë të Diasporës (UGSHPD)
Verband Albanischer Berufsjournalisten der Diaspora (VABD)
Union of Professional Albanian Journalists of Diaspora (UPAJD)
L’Union des journalistes professionnels albanais de la diaspora (UJPAD)
Unione dei Giornalisti Professionisti Albanesi della Diaspora (UGPAD)

Shpërthen murtaja, Kosova merr masa, ndalon importin e deleve dhe dhive nga Shqipëria

Ministria e Bujqësisë, Pylltarisë dhe Zhvillimit Rural e Kosovës në koordinim me Agjencinë e Ushqimit dhe Veterinarisë ka vendosur masë ndalese të pakohshme, për import të deleve dhe dhive nga i gjithë territori i Shqipërisë.

Bëhet e ditur se deri tek vendimi erdhi pas konfirmimit të rasteve të sëmundjes PPR (Peste des Petits Ruminants) në Qarkun e Dibrës.

“Thërrasim për vëmendje Komunat e Kosovës të brezit kufitar me Shqipërinë, përmes drejtorive të për Bujqësi të vendosin masa strikte kufizuese të lëvizjes se bagëtive të imta në kullosat e brezit kufitar. Fermerët mbajtëse të deleve dhe dhive të mbajnë nën mbikëqyrje tufat e tyre, të shmangin çfarëdo kontakti me kopetë e fermerëve nga Shqipëria”, thuhet në një njoftim të AUV-it. bw

Samiti i Diasporës- Denoncon punonjësja e Bashkisë Elbasan: Na urdhëruan të vinim në Tiranë për të mbushur karriget e Ramës

Ajo shprehet se transporti është organizuar me autobus dhe se është kërkuar prani e punonjësve pa u marrë parasysh nëse ata kanë dëshirë të marrin pjesë apo kanë angazhime familjare.

TIRANË– Një punonjëse e Bashkisë Elbasan ka bërë një denoncim lidhur me pjesëmarrjen në aktivitetin e Samitit të Diasporës. Punonjësja bashkiake ka treguar se së bashku me kolegët janë urdhëruar nga drejtuesit e bashkisë të udhëtojnë mëngjesin e sotëm drejt Tiranës me qëllim mbushjen e sallës së aktivitetit.

Në denoncimin e bërë për JOQ, ajo shprehet se transporti është organizuar me autobus dhe se është kërkuar prani e punonjësve pa u marrë parasysh nëse ata kanë dëshirë të marrin pjesë apo kanë angazhime familjare.

Ajo thotë se drejtoreshë D.Roseni, ka mbajtur shënim mungesat gjatë nisjes së autobusit dhe ka monitoruar pjesëmarrjen e stafit. Sipas saj, nëse nuk bindeshin të merrinin pjesë u rrezikohej vendi i punes.

Denoncimi i plotë:

Persh JOQ Jam nje punonjese e Bashkise Elbasan. Sot ne mengjes morem urdher nga Kryetari te shkojme me autobuz ne tirane sepse eshte Samiti i Diaspores

Do mbushim karriget e Edi Rames qe akoma i merr njerezit me detyrim neper takime. Prania ishte me detyrim edhe nga drejtoresha e D. Roseni qe merrte dhe mungesat ne deren e autobuzit

Nuk pyeten a donim a sdonim te iknim, a kemi femjne apo pleq ne shtepi. Do permbushim detyrat se perndryshe na rrezikohet vendi i punes. Ju lutem anonim se keto te hegin nga puna, jemi me keq se ne komunizem. Sms nuk cuan se kan frike se ju raportojme tek ju. Na e thane gojarisht sa arritem ne pune./Dosja.al

Paralajmërimi i ri i DASH për Shqipërinë- Revista People: Kujdes, mund të ketë sulme iraniane

Revista ‘People’ thekson se Departamenti i Shtetit ka lëshuar një paralajmërim të ri për Shqipërinë, pasi më herët ishte ambasada amerikane në Tiranë që njoftoi qytetarët të kenë kujdes.

 

TIRANË- Mediat amerikane i kanë  bërë jehonë paralajmërimit të Departamentit Amerikan të Shtetit në lidhje me Shqipërinë. Ka qenë revista ‘People’, e cila ka boptuar një artikull ku u bën thirrje amerikanëve që të bëjnë kujdes nëse zgjedhin të vizitojnë Shqipërinë.

Revista ‘People’ thekson se Departamenti i Shtetit ka lëshuar një paralajmërim të ri për Shqipërinë, pasi më herët ishte ambasada amerikane në Tiranë që njoftoi qytetarët të kenë kujdes.

Artikulli i Plotë:

Departamenti Amerikan i Shtetit ka lëshuar një paralajmërim të ri për amerikanët që vizitojnë një destinacion udhëtimi evropian që po vazhdon të rritet në popullaritet midis turistëve të huaj. Më herët këtë muaj, Ambasada e SHBA-së në Tiranë, Shqipëri, i inkurajoi qytetarët amerikanë të “ushtronin vigjilencë të shtuar” gjatë vizitës në kryeqytetin evropian. Alarmi i sigurisë i 1 prillit përmendi konkretisht se “grupet e lidhura me Iranin mund të kërkojnë të synojnë subjektet e lidhura me SHBA-në ose elementët e opozitës iraniane në Shqipëri”.

Paralajmërimi paralajmëron më tej se këto grupe “mund të synojnë gjithashtu vende të zakonshme, të tilla si vende turistike, qendra tregtare, hotele, klube dhe restorante”. Departamenti i Shtetit u rekomandon amerikanëve të qëndrojnë vigjilentë, të jenë të vetëdijshëm për mjedisin përreth, të monitorojnë median lokale dhe t’i mbajnë telefonat e tyre celularë të karikuar në rast emergjence. Aktualisht, Shqipëria kategorizohet vetëm me një këshillë udhëtimi të Nivelit 2 nga Departamenti i Shtetit. Ky përcaktim u rekomandon udhëtarëve “të ushtrojnë kujdes të shtuar”. Këshilla, e përditësuar për herë të fundit më 31 dhjetor 2024, citon krimin si arsyen kryesore për shqetësim. 

Pavarësisht paralajmërimeve, autoritetet shqiptare theksuan se “nuk ka informacion konkret në lidhje me një kërcënim real për sigurinë”, sipas një njoftimi për shtyp të përkthyer nga Ministria e Punëve të Brendshme e vendit. Pas komunikimit me policinë antiterrorizëm, Departamentin e Sigurisë Publike dhe Policisë Kriminale, të cilët janë në kontakt me Zyrën e Sigurisë së Ambasadës Amerikane, Ministri i Punëve të Brendshme Besfort Lamallari konfirmoi se “nuk ka informacion të konkretizuar, madje as inteligjencë, në lidhje me një situatë vërtet të rrezikshme”.

Ai shtoi në njoftimin e 2 prillit: “Fakti është se Shqipëria mbetet një vend i sigurt për qytetarët shqiptarë dhe për të gjithë ata që vizitojnë Shqipërinë.” Numri i përgjithshëm i turistëve të huaj që vizituan Shqipërinë në vitin 2025 u rrit në 12.47 milionë. Kjo përfaqëson një rritje prej rreth 6.6% nga viti 2024, sipas të dhënave të shqyrtuara nga Albanian Daily Neës nga zyra e statistikave të vendit. Rreth 71.5% e këtyre turistëve erdhën nga Evropa Jugore.  Travel + Leisure raporton se Shqipëria njihet për ujërat më të kaltër në botë. Turistët shpesh shijojnë kajakun, raftingun dhe zhytjen ndërsa janë në plazhet e vendit. Ndërkohë, gati tre të katërtat e tokës së saj përbëhen nga male dhe kodra./Dosja.al

“Zemra e Evropës rreh më fort në Hungari tani”-Analiza: Çfarë do të thotë fundi i sundimit të Orbanit për BE-në dhe botën?

Fundi i mandatit të Orbánit në qeveri pas 16 vitesh mund të ketë implikime të rëndësishme jo vetëm për Hungarinë , por edhe për Bashkimin Evropian, Ukrainën dhe më gjerë.

Largimi i Orbanit do të jetë një lehtësim i madh për BE-në, pasi ai ka ndihmuar Putinin të bllokojë mbështetjen evropiane për Ukrainën.

Kjo ka të ngjarë të shënojë fundin e rolit të diskutueshëm të Hungarisë brenda BE-së, duke hapur potencialisht rrugën për një kredi prej 90 miliardë eurosh për Ukrainën, të cilën Viktor Orban e ka bllokuar.

Humbja e Orbánit mund të nënkuptojë gjithashtu lirimin përfundimtar të fondeve të BE-së për Hungarinë, të cilat blloku i kishte pezulluar për shkak të asaj që Brukseli e ka përshkruar si erozion të standardeve demokratike nga ana e tij.
Presidentja e Komisionit Evropian, Ursula von der Leyen, njoftoi me gëzim: “Zemra e Evropës rreh më fort në Hungari sonte.”

Zyrtarët e Brukselit e kanë akuzuar prej kohësh Orbanin për minimin e shtyllave kryesore të demokracisë hungareze – nga gjyqësori te media.

Largimi i tij do ta privonte gjithashtu Vladimir Putinin nga aleati i tij kryesor në BE.
Në Hungari, një fitore për partinë Magyar Tisza hap rrugën për reforma që synojnë luftimin e korrupsionit dhe rivendosjen e pavarësisë së gjyqësorit dhe institucioneve të tjera.

Megjithatë, shkalla e këtyre reformave do të varet nëse Tisza mund të sigurojë shumicën kushtetuese prej dy të tretash që do të nevojitej për të përmbysur pjesën më të madhe të trashëgimisë së Orbán-it.

Orbán e pranoi humbjen e tij, me lot në sy, duke thënë: “Pavarësisht se si zhvillohen gjërat, ne do t’i shërbejmë vendit tonë dhe kombit hungarez nga opozita”.

Kishte shqetësim se Orban nuk do të largohej i qetë, pasi kishte ndërtuar një sistem që e bëri shumë të vështirë për partinë e tij në pushtet, Fidesz, të mposhtej. Por madhësia e humbjes nuk i la zgjidhje tjetër veçse të pranonte rezultatet. bw

Albin Kurti: Më 12 prill të vitit 1999, ushtarët serbë 40 civilë shqiptarë të paarmatosur në Lubizhdë të Hasit

Si sot, 27 vite më parë, më 12 prill të vitit 1999, forca të shumta të Batalionit të Dytë të Motorizuar 549 të ushtrisë jugosllave, i rrethuan malet ku ishin strehuar shumë nga banorët e fshatit Lubizhdë të Hasit. Pasi i ndanë burrat nga gratë dhe fëmijët e tyre, ushtarët serbë filluan t’i torturonin teksa i radhitën në rresht për t’i pushkatuar. Të mbijetuarit e kësaj masakre, kanë rrëfyer pastaj barbarinë e këtij krimi shtetëror të Serbisë ndaj banorëve të Lubizhdës së Hasit, përshkuar nga ekzekutime të planifikuara, tortura, malltretime, plaçkitje, dhunime, dëbime dhe shkatërrim pronash.
Gjatë atyre ditëve të mesit të prillit të vitit 1999, nga fushatat kriminale të spastrimit etnik dhe gjenocidit që Serbia po kryente ndaj shqiptarëve në Kosovë, u vranë 40 civilë shqiptarë të paarmatosur. Ndërkaq, në përballje me forcat serbe dhe në mbrojtje të civilëve, ranë dëshmorë 14 luftëtarë të Ushtrisë Çlirimtare të Kosovës.
Jetët e dhëna për çlirimin e Kosovës janë vlerë sublime në themelet e lirisë së popullit dhe shtetndërtimit të republikës sonë.
Lavdi dëshmorëve dhe martirëve të rënë për lirinë e atdheut!

Donika Gërvalla: Lavdi e përjetshme Agim Ramadanit dhe të gjithë atyre heronjve të lirisë që nuk kursyen as jetën, që Kosova të jetojë e lirë, sovrane dhe përherë krenare

Në kujtim të Agim Ramadanit, Heroit të Kosovës, komandantit të guximshëm, strategut të mprehtë, poetit dhe piktorit të talentuar, një figure të rrallë dhe shumëdimensionale që me vizion, vendosmëri dhe sakrificë e ktheu idealin e lirisë në realitet historik dhe la gjurmë të pashlyeshme në një prej periudhave më të ndritura të historisë sonë kombëtare. Sot, në 27-vjetorin e rënies heroike të tij në Betejën e Koshares në ballë të frontit çlirimtar, aty ku përgjithmonë u hoq guri famëkeq i kufirit, ai mbetet një emër i papërsëritshëm i një kohe që u jetësua nga guximi dhe bindja e pathyeshme se liria dhe drejtësia arrihen me sakrificë dhe mbrohen me dinjitet.
Beteja e Ushtrisë Çlirimtare të Kosovës në Koshare ishte dhe mbetet beteja e krenarisë dhe lavdisë, betejë e heronjve që jetësuan ëndrrën shekullore.
Lavdi e përjetshme Agim Ramadanit dhe të gjithë atyre heronjve të lirisë që nuk kursyen as jetën, që Kosova të jetojë e lirë, sovrane dhe përherë krenare.

Send this to a friend